Etik Kurul ve Proje Önerilerinde Bilmemiz Gereken İstatistiksel Konular
Araştırmanın tasarım aşamasında veya etik kurul başvurularında istatistik uzmanına danışılması gereken konular neler? Bir araştırmacı istatistikçiye danışmadan önce hangi hazırlıkları yaparsa bu süreç hızlı ve verimli hale gelir? Yazımda bu konuya açıklık getirmeye çalışacağım.
ARAŞTIRMA TASARIMI


Bundan yaklaşık 5-10 yıl öncesine kadar istatistiksel konulara aşina olmadan da etik kurul raporu, proje önerisi ve hatta makale yazılabiliyorduk. İşler o zaman çok daha kolaydı. Şimdi ise araştırma önerisi formlarında bile, istatistiksel süreci ilgilendiren bölümler var. Çünkü bilim her geçen gün ilerleme kaydediyor ve araştırmaları değerlendiren bilim insanları gün geçtikçe bilinçleniyor. Bu zorunlulukların bir sonucu olarak, istatistik okuryazarlığı araştırmacılar için olmazsa olmaz bir yetkinlik haline geldi. Ancak tüm yetkinlikler gibi bu yetkinliği geliştirmek için de zaman, emek ve adanmışlık gerekiyor. Kendini geliştirmek için fırsat bulamayan araştırmacılar ise etik kurul, tez veya proje başvurularını yapmadan önce soluğu istatistik uzmanında alıyor.
Peki, araştırmanın tasarım aşamasında istatistik uzmanına danışılması gereken konular neler? Bir araştırmacı istatistikçiye danışmadan önce hangi hazırlıkları yaparsa bu süreç hızlı ve verimli hale gelir? Yazımda bu konuya açıklık getirmeye çalışacağım.
Etik kurul başvurusunda çalışmanın istatistiksel sürecini ilgilendiren genellikle üç konu bulunuyor:
1. Araştırmada yer alan hasta ve/veya sağlıklı gönüllü sayısının nasıl belirlendiği
2. Kullanılacak istatistiksel yöntem
3. İstatistikçi desteğinin alınıp alınmadığı
1. Tahmin edilen örneklem sayısı
Bunlardan ilki olan tahmini örneklem sayısı, hipotezi olan yani ilişki veya farkın araştırıldığı çalışmalarda “güç analizi” yapılarak belirlenmektedir. Belirli bir hipotezi olmayan “tanımlayıcı” araştırmalarda ise bazı formüllerle uygun örneklem sayısı tahminlenebilir. Dikkat ettiyseniz “tahmin” diyoruz, “hesaplama” demiyoruz. Çünkü örneklem sayısı her ne kadar matematiksel hesaplar yaparak belirlense de formülde yerine koyduğumuz sayılar çoğunlukla sezgisel olarak belirleniyor. Çünkü araştırmanın en başından sonunu ön görmeye çalışıyoruz.
Güç analizi, tıbbi araştırmalarda primer hipotezimiz için klinik olarak önemli bir etkiyi, belirli bir istatistiksel anlamlılık düzeyinde tespit etmek için gerekli olan en küçük örneklem büyüklüğünün belirlenmesi için yapılmaktadır. Tıp dışı araştırmalarda ise pratik anlamlılık yani pratik hatta önemli kabul edilen etkiden söz edebiliriz. “Önemli etkinin” istatistiksel anlamda karşılığı, etki büyüklüğüdür (effect size).
Araştırmacılar ve etik kurul üyelerinin örneklem, araştırmanın gücü ve etik konularında bilinçli bir yargıda bulunmaları için örneklem büyüklüğü ile ilgili teknik konulara da hâkim olmaları gerekmektedir. Her ne kadar yapılan işlem kolay olsa da, araştırma felsefesini özümsemeyi gerektiren bir analiz olduğu için konuya hâkim kişileri bulmak da zor oluyor. Konunun okullarda anlatımının bile yeni olduğunu düşünürsek alanda uzman kişi sayısının ne kadar az olduğunu siz düşünün...
Örneklem sayısı tahmini, ciddi bir istatistiksel yöntem ve test bilgisi gerektirmektedir. Çünkü kritik olan nokta; etki büyüklüğünü, primer (öncül) araştırma hipotezini test edeceğimiz analiz yöntemi ile uyumlu olarak belirlemektir. Gruplar arasında büyük bir farkı/ilişkiyi, yani büyük etki büyüklüğünü tespit etmek için küçük bir örneklem büyüklüğü yeterliyken, gruplar arasındaki küçük bir farkın/ilişkinin anlamlılığı ancak büyük bir örneklemle tespit edilebilir.
Gereğinden az sayıda birim üzerinde deney yapılması gerçekte var olan önemli bir etkinin tespit edilememesine neden olabilirken (düşük güç), çok fazla sayıda örnek üzerinde test yapılması istatistiksel olarak anlamlı fakat gerçekte klinik/pratik olarak önemsiz bir etkinin tespit edilmesine yol açabilir. Aşağıdaki şekli, güven aralığı, ortalama, standart sapma, n sayısı, klinik anlamlılık, istatistiksel anlamlılık gibi kavramları barındırması açısından oldukça eğitici buluyorum (Başka bir yazıda sadece bu şekli açıklamak istiyorum).
Gelelim etki büyüklüğünün belirlemek için nasıl hazırlık yapmanız gerektiğine:
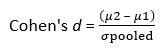
Bunun cevabı etki büyüklüğünün formülünde gizli… Formül demem sizi korkutmasın, kendisi oldukça basit. Örneğin iki ortalama arası farkın anlamlılık testini kullanacağımız bir hipotezimiz varsa:
Yani ihtiyaç duyduğumuz matematiksel değerler, gruplar arasındaki minimum anlamlı farka ait ortalama değerler ve bunlara ait standart sapmalar. Minimum anlamlı farka karar vermek sezgisel olabildiği gibi literatüre de dayandırılabilir. Veya bir pilot çalışma yoluyla tahminde bulunabilirsiniz.
Bahsettiğimiz tüm bu konularda hazırlıklı olarak gitmek örneklem sayısı tahminlemesini hızlı ve doğru şekilde yapmanızı sağlar.
2. Kullanılacak istatistiksel yöntem
Hangi yöntemleri kullanacağımıza karar vermek için de yine hipotezlerimizi netleştirmiş olmamız gerekmektedir. Akabinde hipotezlere karşılık gelen değişkenleri ve bu değişkenlerin türlerini bilmemiz gerekmektedir. Değişken türleri: Nominal, ordinal, interval ve scale olarak dört grupta incelenebilir. Örneğin, iki grubun ölçümle elde edilmiş sayısal değerlerini karşılaştıracaksak, iki ölçüm arası fark testi yapacağız. Normal dağılım varsayımını uygun yöntemlerle (Ör: Shapiro Wilk testi) kontrol ettikten sonra İki Bağımsız Ortalama t Testi veya Mann Whitney U testi kullanabiliriz. Eğer iki tane sayısal değişken arasındaki ilişkiyi test edeceksek normallik varsayımını kontrol ederek Pearson Korelasyon Testi (parametrik) veya Spearman Korelasyon Testini (nonparametrik) kullanabiliriz. İki grubun oransal değerlerini karşılaştıracaksak büyük bir ihtimalle Pearson Ki-Kare Testi veya Fisher’ın Kesin Testini kullanacağız. Bu tarz basit testleri istatistikçi olmayan kişiler de temel istatistik okuryazarlığı seviyesiyle belirleyebilir. Ancak ileri istatistiksel yöntemler gerektiren hipotezlerde araştırmacı mutlaka bir istatistik uzmanına danışmalıdır. Burada önemli olan nokta, tüm araştırma sorularımızı sanki veri setini oluşturup karşımızda değişkenleri görüyormuş gibi netleştirmemiz ve yanıt bulabileceğimiz testleri tek tek not etmemiz. Yanıt bulmak istediğimiz tüm araştırma sorularını ve hipotezleri sıralamak (yüzeysel cümleler kurmadan) ve her hipotezin yanına değişken türüne göre belirlediğimiz testleri yazmak iyi bir çözüm olacaktır.
Bu arada şu notu belirtmem gerek, etik kurullar proje önerisinde araştırmacıların kullanacağını belirttiği yöntemlerle proje bitiminde kullandığı yöntemlerin tutarlılığını kontrol etmiyor (henüz). Tıpkı çalışmanın başında tahmin ettiği örneklem sayısı ile sonuçta dâhil ettiği örneklem sayısını kontrol etmediği gibi… Ancak sistemin açığının bulunması, bizim ondan faydalanmamızı gerektirmiyor değil mi sevgili etik araştırmacılar :)
3. İstatistikçi desteğinin alınıp alınmadığı
Çalışmalarda istatistikçi desteğinin alınması her zaman araştırmacının lehinedir. Araştırma yönteminin doğru şekilde seçileceği konusunda güven verir. Üniversitelerde bu konuda hizmet veren uygulama ve araştırma merkezleri bulunmaktadır. Araştırmacılar bu merkezlere başvurarak ücretsiz danışmanlık alabilir. Veya araştırma ve istatistik firmaları ile profesyonel bir çalışma da sağlayabilirler. Çalışmanızın çıktısı istatistiksel anlamda üst düzey bir performans gerektiriyorsa ekibinize kendi alanınızda hizmet veren bir istatistik uzmanı dâhil etmeniz daha mantıklı bir tercih olacaktır. Analizlerin karmaşıklığı arttıkça istatistik uzmanına başvurma oranı o kadar artmaktadır.






